Какие есть опасности употребления сленга?
Одна из опасностей использования сленга заключается в том, что он может вызывать недоразумения и непонимание со стороны людей, не знакомых с этим языком. Если человек не понимает смысла или значения сленгового выражения, это может привести к неправильной интерпретации и непониманию. Кроме того, употребление сленга в официальных или профессиональных ситуациях может создавать впечатление непрофессионализма или неприличности.
Еще одной опасностью употребления сленга может быть его негативное влияние на развитие языковых навыков. Использование сленга может снижать уровень грамматической и лексической грамотности, поскольку он часто отличается от стандартного языка и не подчиняется правилам и нормам. Это может привести к затруднениям в общении и написании текстов на правильном языке.
Кроме того, некоторый сленг может быть оскорбительным или неприемлемым с точки зрения моральных или этических норм. Употребление такого сленга может вызывать неприятные эмоции у других людей и приводить к конфликтам
Поэтому, важно быть осмотрительным и уважительным в использовании сленга, особенно в общественных местах или среди незнакомых людей
Таким образом, хотя использование сленга может быть увлекательным и помогать встать на одну волну с группой людей, важно помнить о его опасностях. Постоянное употребление сленга может привести к слабому знанию общего языка и проблемам в коммуникации
Поэтому, использование сленга должно быть ограничено и осознанным.
Трамвай: старинный и ностальгический вид транспорта
История трамвая
Первые трамваи появились в середине XIX века. Их основным исходным материалом было дерево, и они были запряжены лошадьми. В то время это было совершенно новаторским решением в области общественного транспорта. Вскоре, вместо лошадей, начали применять паровые двигатели, что сделало трамваи еще более эффективными и популярными.
В XX веке трамваи стали электрическими, используя энергию, получаемую от специальных воздушных проводов. Это стало очень важным шагом в развитии трамвайного транспорта, поскольку он стал более экологически чистым и энергоэффективным. В настоящее время большинство трамваев в мире работают на электричестве.
Популярность трамвая
Трамваи также являются одной из самых популярных форм транспорта, особенно в исторических и культурно значимых городах. Благодаря своей стилистической привлекательности и ностальгическому образу, трамваи часто становятся главными достопримечательностями и символами городов.
Кроме того, трамваи обеспечивают комфорт и эффективность в перевозке пассажиров по городу. Они могут оптимально передвигаться по узким улочкам и пробираться через пробки, обходя автомобильные заторы. В результате, путь в трамвае может быть более быстрым и удобным, чем на автобусе или автомобиле.
Таким образом, трамвай является уникальным и важным видом транспорта, который сочетает в себе историческую и культурную ценность с практичностью и эффективностью передвижения по городу.
Риски использования техники юза при вождении
Применение юза во время вождения зачастую ведет к удлинению дистанции торможения, что повышает опасность возникновения аварийных ситуаций, а также к следующим негативным моментам:

1
Нарушение устойчивости транспортного средства: Риск потери контроля над управлением из-за блокировки передних колес и возможность скольжения или полного разворота автомобиля при блокировке задних колесных пар.

2
Локальный износ покрышек: Для транспорта на рельсовом ходу (трамваев, поездов и метрополитена) юз приводит к износу колес в местах контакта с рельсами, формируя так называемые ползуны на колесных бандажах. Неравномерность колес вызывает повышенный шум от ударов сплющенной части колеса о рельсы, увеличивает вибрацию из-за неравномерного расстояния оси колеса до поверхности рельсов в процессе движения, что способствует разрушению пути. Для решения этих проблем требуется токарная обработка колесных пар с ползунами и шлифование рельс посредством специального подвижного состава. Из-за такого износа бандажи иногда называют «квадратными».

3
Для гоночных автомобилей с мягкими шинами, техника юза также может стать причиной появления плоских мест на покрышках, делая транспортное средство менее управляемым и увеличивая вероятность неисправности подвески.
Историческое значение выражения
Выражение «ездил цугом» имеет свое историческое значение и ассоциируется с периодом расцвета железнодорожного транспорта в Российской Империи во второй половине XIX — начале XX века. В то время железнодорожное сообщение считалось наиболее быстрым и удобным способом передвижения по стране.
Выражение «ездил цугом» означает путешествие на поезде, дословно «на цуге», который представлял собой состав из нескольких вагонов, тянущихся «цепью» за локомотивом. В силу ограниченных возможностей того времени, современные пассажирские поезда с отдельными вагонами не существовали.
Ассоциации с цугами и их особенностями сформировали множество выражений и пословиц, связанных с путешествиями и показывающих значимость железнодорожного транспорта в культуре и обычаях того времени. Эти выражения использовались для описания путешествий, планов, причудливых ситуаций и действий людей.
Использование выражения «ездил цугом» в наше время может иметь художественный характер и подразумевать романтичное, ностальгическое отношение к прошлому и историческим событиям.
Как влияет сленг на речевой и языковой развитие?
Во-первых, сленг мотивирует людей искать новые способы выражения своих мыслей и идей. Он стимулирует творческое мышление и расширяет словарный запас. Благодаря сленгу люди учатся создавать новые слова, используя уже существующие компоненты, что способствует развитию языковой гибкости и адаптивности.
Во-вторых, сленг помогает людям лучше приспосабливаться к изменяющимся социальным условиям. В каждой общности существует специфический сленг, поэтому его использование позволяет легче вписаться в среду, общаться с людьми, выражать свою принадлежность к определенной группе или культуре. Сленг создает чувство принадлежности и укрепляет социальные связи.
Но несмотря на все позитивные аспекты, сленг может также негативно сказаться на языковом развитии. Владение сленгом может привести к некорректному использованию стандартного языка, особенно в формальных обстановках, где требуется официальная речь. Кроме того, сленг часто меняется и устаревает, что может затруднять коммуникацию между разными поколениями и культурами.
В целом, сленг играет важную роль в речевом и языковом развитии, предоставляя людям новые способы выражения и социальной принадлежности. Однако необходимо остерегаться его негативного влияния и помнить о значимости стандартного языка в различных ситуациях.
Воздушный транспорт: быстро и надежно
Пассажирские самолеты
Пассажирские самолеты предоставляют возможность быстро перемещаться между городами и странами. Они обеспечивают комфортабельные условия для пассажиров, включая свободное пространство, кресла с подлокотниками и туалеты. Путешествие на пассажирском самолете позволяет сэкономить время и избежать неприятностей дорожного движения.
Грузовые самолеты
Грузовые самолеты играют важную роль в международной торговле. Они способны перевозить большие объемы грузов на большие расстояния. Грузы доставляются быстро и безопасно, что позволяет бизнесу оперативно реагировать на запросы рынка. Грузовые самолеты также используются для доставки гуманитарной помощи в места бедствий.
- Достоинства воздушного транспорта:
- Высокая скорость передвижения;
- Возможность перевозить большие объемы грузов;
- Глобальная доступность;
- Безопасность.
Воздушный транспорт является важным средством связи между различными регионами и странами. Он позволяет людям и грузам перемещаться быстро и эффективно. Благодаря воздушному транспорту мир становится более доступным и интегрированным.
Значение фразы «Сажа во все поля»
Фраза «Во все поля», используемая анонимами на имиджбордах, первоначально служила для усиления значения слова «sage». Автор сообщения на имиджборде, написав «SAGE GOES IN EVERY FIELD» (в переводе с англ. «Сажа во все поля»; вариант «Сажа в каждое поле») как бы подчеркивал, что он не только не хочет бампать этот тред, но и с удовольствием утопил бы его еще глубже, дописывая «sage» в другие поля, для этого не предназначенные. В настоящее время выражение обрело самостоятельную жизнь и также используется и для усиления других эмоций.
Примеры фраз:
- «Х*ита во все поля!»
- «Номад во все поля!» (значение, аналогичное значенияю предыдущей фразы).
- «НЕНАВИСТЬ во все поля!»
- «Бамп» во все поля!
- «Петросян во все поля!» (намекает на отличное чувство юмора комментатора).
Как правильно тормозить на механике перед светофором


На твердой поверхности в сухую погоду перед светофором выгоднее тормозить одновременным нажатием тормоза и сцепления
Правила торможения на механике, которым обучают автошколы, гласят:
- Движение автомобиля должно происходить при включенной передаче.
- Водитель постоянно меняет передачу соответственно скорости авто, чтобы быть готовым быстро выполнить необходимый маневр.
- Только для остановки при движении машины со скоростью 5-10 км в час, выжимается сцепление с тормозом для остановки авто.
Практика показывает, что правильным методом торможения двигателем пользуются немногие водители, поскольку они устают от частого переключения на пониженные передачи, увеличивается расход топлива, коробка передач быстрее изнашивается. Безусловно, на твердой поверхности в сухую погоду выгоднее тормозить одновременным нажатием тормоза и сцепления.
Значение понятия «пойти юзом» в общении в сети
Пойти юзом – это часто негативная реакция, связанная с принятием информации необдуманно и неинформированно. Человек в данной ситуации может быть подвержен влиянию эмоций, стереотипов и предубеждений.
Пользователи часто пользуются выражением «пойти юзом», чтобы указать на поверхностность и необдуманность суждений или чтобы показать свое недовольство таким поведением.
Таким образом, выражение «пойти юзом» означает недостаточное понимание и анализ информации, слишком эмоциональную или необдуманную реакцию, сопровождаемую неинформированными суждениями и высказываниями.
Интернет и зафорсить сленг: влияние и распространение
В современной интернет-культуре зафорсить сленг является широко распространенным явлением. Это означает использование устаревших, неоднозначных или необычных выражений с целью придания им нового значения или отсылки к определенным событиям, мемам или персонажам. Зафорсить сленг позволяет пользователям выразить свою индивидуальность, быть частью общего сообщества и наблюдать за последними трендами в интернете.
Примерами зафорсированного сленга можно назвать:
- Няшность – подразумевает прекрытие или перегибание к помилованию вещи, явления или человека. Происходит от мема с картинкой котенка и надписью «няшность».
- Упс – используется для обозначения сюрприза или непредвиденных обстоятельств. В основе лежит мем с эмоциональным выражением актрисы Лили Собески.
- Мемы – визуальные или текстовые образы, передающие определенный смысл и ставшие популярными в интернете с помощью широкой репостной активности.
- Уведомы – игра слов на основе слов «уведомление» и «умереть». Используется, когда пользователь считает, что увиденное имеет потенциальное негативное влияние.
Зафорсить сленг может быть как временным явлением, связанным с определенным событием или мемом, так и стать постоянной частью интернет-культуры. Он помогает создавать новые варианты общения и укрепляет связь между пользователями виртуального пространства.
Интернет и зафорсить сленг неразрывно связаны друг с другом, и это явление будет продолжать развиваться вместе с ростом популярности и значимости онлайн-сообществ.
Узнаем прежде отправиться
Перед тем, как отправиться в путешествие, важно узнать все необходимые детали. В этом разделе статьи мы рассмотрим, что следует узнать перед отправкой в путешествие и какая информация будет полезна
1. Визовые требования: Перед тем, как покупать билеты или планировать поездку, узнайте, нужна ли вам виза
Это особенно важно, если вы планируете посетить другую страну с другими визовыми требованиями. У каждой страны могут быть разные правила и сроки получения визы, поэтому рекомендуется заранее изучить эту информацию
2. Медицинские рекомендации и прививки: Перед путешествием узнайте, какие медицинские рекомендации существуют для вашего пункта назначения. В некоторых странах могут быть необходимы определенные прививки или предостережения об опасных болезнях. Обратитесь к медицинскому специалисту для получения соответствующей информации и консультаций.
3. Климатические условия: Изучите климатические условия в стране, которую вы планируете посетить. Узнайте о сезонах года, температурных колебаниях и осадках. Зная, какой будет погода, вы сможете правильно подобрать одежду и нести необходимые вещи.
4. Бюджет и валюта: Перед поездкой определите свой бюджет и изучите информацию о валюте в стране, куда вы собираетесь. Узнайте текущий курс обмена и планируйте свои расходы в соответствии с этой информацией.
5. Безопасность: Перед путешествием изучите информацию о безопасности в стране, которую вы собираетесь посетить
Узнайте о ситуации с преступностью, правилами и законами, а также рекомендованными мерами предосторожности. Это поможет вам избежать проблем и оставаться в безопасности во время поездки
6. Культурные особенности: Изучите культурные особенности и традиции страны, которую вы планируете посетить. Уважение к традициям и обычаям местного населения поможет вам избежать недоразумений и создать благоприятную атмосферу во время вашего путешествия.
Узнав все прежде отправиться в путешествие, вы будете хорошо подготовлены и сможете насладиться своим путешествием без лишних забот и проблем.
Определение термина «пошел юзом»
Выражение «пошел юзом» произошло от слова «юзер», что является сокращенным вариантом слова «пользователь». «Юзер» часто используется в интернет-сообществе для обозначения участника или посетителя различных онлайн-ресурсов, таких как форумы, социальные сети, блоги и т. д.
Когда человек «пошел юзом», это можно интерпретировать как его неумелое или нелепое поведение, которое может вызывать смех или возмущение у других пользователей. Такое выражение часто используется в шутках или в негативных комментариях, чтобы выразить неодобрение или осмеять чью-то глупость.
Термин «пошел юзом» является одним из множества интернет-сленговых выражений, которые постоянно появляются и развиваются в онлайн-сообществе. Он является частью уникальной интернет-культуры, и его использование может меняться с течением времени и в зависимости от контекста.
Что значит тормозить двигателем
Уметь тормозить двигателем жизненно необходимо, например, в гололед. Так называемое экстренное торможение встречается также в экзаменационных билетах.
На скользком дорожном покрытии применяются три приема торможения:
- прерывистое;
- торможение двигателем;
- ступенчатое.
Торможение двигателем предполагает последовательные действия водителя:
- сброс подачи топлива, не выключая сцепления;
- выжать педаль сцепления;
- включить более низкую передачу скорости;
- повторить включение сцепления.
Таким образом, количество оборотов двигателя повысится, а скорость уменьшится. Рабочая тормозная система может плавно подтормаживать авто. Эффект торможения от совмещения описанных способов не меньше, чем от торможения традиционными колодками.
Торможение двигателем на льду является предпочтительным способом в связи с тем, что при блокировке на ледяной поверхности колеса не поддаются управлению. Зато, если колесо авто катится, даже частично проскальзывая, обеспечивается минимальная управляемость.
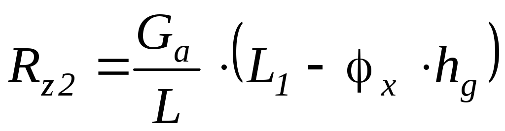
5.4. Тормозные силы, моменты, давление в контуре при торможении юзом.
Сила инерции
автомобиля, которой должна противодействовать
тормозная сила:
.
Реакции на колесах:
Rx1=Rx1max=Rz1
· φх;
Rx2=Rx2max=Rz2
· φх.
Fи
= Rx1
+ Rx2
.
Определим суммарные
нормальные и касательные реакции на
осях автомобиля (сопротивлением воздуха
и его влиянием на перераспределение
нормальных и касательных реакций из-за
малости пренебрегаем):
Сумма моментов
относительно контакта второго колеса
= 0
откуда
.
Сумма моментов
относительно контакта первого колеса
= 0
откуда
.
Откуда:

Изменение
реакций Rx1Rx2Rz1Rz2
в зависимости от φх
У
словия
(рис. 1):
|
Ga= |
15600н |
|
L= |
1,5 |
|
L1= |
0,65м |
|
L2= |
0,85м |
|
hg= |
0,5м |
Условия (рис. 2)
|
Ga= |
15600н |
|
L= |
1,5м |
|
L1= |
0,65м |
|
L2= |
0,85м |
|
hg= |
1м |
Определим необходимый
суммарный тормозной момент, который
необходимо развить в тормозных механизмах
передних колес для доведения их до юза:
,
где р1
– давление в переднем контуре; А1
– передаточная функция, определяемая
конструкцией тормозов (зависимость
тормозного момента от давления в
контуре). В первом приближении считаем
зависимость тормозного момента,
развиваемого в исполнительных механизмах
от давления в приводе линейной).
Отсюда определим
давление, которое необходимо развить
в исполнительных механизмах передних
тормозов для доведения передних колес
до юза:
–давление,
необходимое для доведения передних
тормозов до юза.
.
Аналогично найдем
давление в заднем контуре:
.
Соотношение
давлений в контурах:

.
|
Ga= |
15600н |
|
L= |
1,5м |
|
L1= |
0,825м |
|
L2= |
0,675м |
|
hg= |
0,5м |
|
А2/А1= |
0,5 |

Полученная
характеристика является идеальной и
показывает необходимое соотношение
давлений в исполнительных механизмах
передних и задних колес для одновременного
доведения колес обоих осей до юза. Если
в тормозном приводе не предусмотрено
никаких регулирующих давление механизмов
и главный тормозной непосредственно
связан с рабочими цилиндрами, то давление
в исполнительных механизмах передних
и задних тормозов всегда будет одинаковым,
т.е. будет характеризоваться прямой
линией. Таким образом, идеальная и
реальная при отсутствии регулирующих
механизмов) характеристики совпадают
только в одной точке, т.е. для данного
автомобиля при заданной развесовке
одновременно до юза будут доведены
колеса обеих осей только на одной дороге
с характерным значением коэффициента
сцепления. Н дорогах с меньшим сцеплением
раньше в юз попадут колеса передней
оси, а на дорогах с большим сцеплением
– колеса задней оси.
Колеса, доведенные
до юза, не способны воспринимать боковые
нагрузки: Любое внешнее воздействие
приводит к заносу.
При опережающем
юзе передних колес автомобиль движется
не управляемо, но устойчиво прямолинейно.
При опережающем
юзе задних колес автомобиль попадает
в прогрессирующий занос, что означает
потерю устойчивости.
Несовпадение
идеальной и реальной характеристик
распределения давлений в зоне малых
коэффициентов сцепления можно считать
допустимым, так как в процессе экстренного
торможения (а именно в этом случае колеса
автомобиля доводятся до полного юза)
главная задача – остановить автомобиль
на полосе движения, а опережающий юз
колес передней оси ведет к устойчивому
прямолинейному движению.
Несовпадениеидеальной
и реальной характеристик распределения
давлений в зоне больших коэффициентов
сцепления абсолютно недопустимо, так
как прогрессирующий занос, возникающий
в этом случае, является причиной потери
полосы движения в процессе экстренного
торможения и приводит к большинству
аварий с тяжелыми последствиями при
экстренном торможении.
Какие виды сленга существуют?
Сленг, также известный как жаргон, арго или молодежный сленг, представляет собой разновидность неформального языка, используемого определенной группой людей или сообществом. Этот специфический лексикон и способ общения позволяют выразить оригинальность, принадлежность к определенной субкультуре или просто сократить и упростить речь среди одногруппников.
Существует множество разных видов сленга, каждый из которых служит своей цели и используется в определенных ситуациях. Он может быть связан с молодежной субкультурой, профессиональным сообществом или с управляющими службами.
Некоторые из наиболее распространенных типов сленга включают:
1. Молодежный сленг: термины и выражения, созданные и используемые молодежью в определенной стране или регионе. Он может быть связан с модой, музыкой, социальными тенденциями и другими аспектами молодежной культуры.
2. Профессиональный сленг: лексика, используемая в определенной профессии или отрасли. Примеры включают медицинский сленг, юридический сленг или сленг военных.
3. Этнический или региональный сленг: уникальные термины и выражения, используемые разными этническими или региональными группами. Это может быть сленг, используемый жителями города, принадлежащими к определенной национальности или просто выражения, характерные для определенного региона.
4. Шифрованный сленг: способ общения, при котором слова или фразы заменяются кодовыми или шифрованными выражениями. Этот вид сленга часто используется бандитскими группами или военными в целях секретности.
Каждый из этих видов сленга имеет свои особенности и характеризуется своей уникальной лексикой. Различные группы людей могут использовать комбинацию разных типов сленга в зависимости от своих потребностей и целей общения.
Торможение в повороте

При прохождении поворотов тормозами лучше не пользоваться. Скорость необходимо сбрасывать ещё до начала манёвра. От быстрого входа поворот быстрее не пройти всё равно придётся сбрасывать скорость и даже больше чем при правильном вхождении в поворот. Но если уже так сложилось, что скорость в вираже превышает допустимую, то необходимо задействовать два тормоза одновременно. Это позволит избежать сноса, как передней оси, так и задней.
При торможении в повороте необходимо учитывать тот факт, что в повороте колёса велосипеда находятся в разгруженном состоянии. Чем меньшая масса велосипеда и велосипедиста темь меньшее тормозное усилие необходимо прикладывать для снижения скорости в повороте.
Определение и понятие «машина идет юзом»
Когда машина идет «юзом», это означает, что водитель или владелец авто нажимает педаль акселератора настолько сильно, чтобы моментально увеличить скорость и обеспечить быстрое разгоняющееся движение. Это может быть полезно в определенных ситуациях, таких как обгоны или участия в гонках.
Однако, «машина идет юзом» также может иметь скользкий смысл и ассоциироваться с опасностью и неадекватным вождением. Использование значительной мощности двигателя без должного контроля или нарушение правил дорожного движения может привести к авариям и повреждению транспортных средств, а также к возникновению гражданских и уголовных правонарушений.
| Примеры использования выражения «машина идет юзом» |
|---|
| 1. Водитель решил обогнать другую машину и нажал на газ, машина пошла юзом и быстро достигла предела скорости. |
| 2. Молодежь на парковке перегнула палку и начала гонять по территории, повышая скорость автомобилей до максимума. Все машины идут юзом, создавая опасные условия для окружающих. |
| 3. В автоспорте машины должны идти юзом, чтобы показать свои максимальные возможности и достичь наилучших результатов на трассе. |
| 4. Внимающий полицейский заметил, что автомобиль едет юзом и решил остановить его, чтобы проверить документы водителя. |
Что такое «юз»?
«Юз» – это термин, который может иметь несколько значений в зависимости от контекста его использования.
Однако, в специфических сферах и субкультурах «юз» может набирать иные, более узкоспециализированные значения.
Общепринятым значением «юза» считается проскальзывание по поверхности, не связанное с качением (вращением колес), которое произошло от наречия «юзом» (катом) из жаргона грузчиков, означающим перемещение груза волоком, без переворачивания его при движении.
Юз возникает только при замедлении/торможении и только в продольном направлении движения.
Если колесо или гусеница вращаются медленнее, чем необходимо при данной скорости, то это можно определить как «юз».
В некоторых случаях, «юз» относится к технике скольжения по поверхности, используемой, например, в спорте или танцах. Это может быть нечто вроде легкого и управляемого заноса, который позволяет сохранять движение при изменении направления или замедлении.
Также слово может служить кратким описанием любых действий, связанных с креативным или оптимизированным использованием ресурсов.
Например, знатоки различных областей могут говорить о «юзе» тех или иных технологий, подразумевая тем самым проницательное и возможно нестандартное применение доступных инструментов.
В общественном жаргоне или сленге «юз» может использоваться для обозначения любых видов деятельности или практик, которые люди применяют в своей жизни, часто с намеком на изобретательность или ухищрение, позволяющее достигать желаемых результатов.



Скольжение колёс транспортного средства по дороге
Экстренное торможение. Итоги
Что ж, подведем итоги по теме экстренного торможения.
1. АБС дает следующие преимущества при экстренном торможении:
- вам не нужно думать, как тормозить и дозировать усилие на педали тормоза;
- вы можете изменять траекторию движения автомобиля;
- вы избежите заноса и вращения автомобиля, особенно, когда под колесами справа и слева – участки дороги разной «скользкости».
2. Для экстренного торможения с АБС нужно соблюсти следующие правила:
- вы должны нажать на педаль тормоза достаточно сильно, чтобы привести в действие АБС;
- вы должны нажать на педаль быстро, резко, хлестко, чтобы включить АБС как можно быстрее;
- держать педаль тормоза нажатой до полной остановки автомобиля.
3. Если на вашей машине механическая коробка передач, то при экстренном торможении выжимайте педаль сцепления.
4. При торможении на автомобиле без АБС учитывайте следующее:
максимальное замедление автомобиля достигается именно на грани скольжения шин по дороге, и совсем неважно, каким способом – с АБС или без нее. правильно угадать усилие с первого нажатия на педаль практически невозможно недостаток импульсного или дозированного торможений один и очень весомый: этот способ идет вразрез с физиологией человека. поэтому тормозите на машине без АБС так же, как с АБС: тормоз в пол!
поэтому тормозите на машине без АБС так же, как с АБС: тормоз в пол!
Источник





























